사회조사분석사 2급 (2015년05월31일 기출문제)
1과목 : 조사방법론 I
1번
인간의 행위를 이해하는데 유관 적합한 개념 또는 변수의 종류를 지나치게 한정시키거나 한가지로 귀착시키려는 성향은?
2번
프로빙(probing)에 대한 설명으로 틀린 것은?
3번
분석단위의 성격이 다른 것은?
4번
집단조사의 특성에 대한 설명으로 틀린 것은?
5번
인과관계의 일반적인 성립조건과 가장 거리가 먼 것은?
6번
사회과학에서 변수(variable)와 속성(attribute)을 구분할 때 다음 중 변수로만 구성된 것은?
7번
남녀간의 내용분석 코딩 과정에서 현재적 내용(manifest content)이 아닌 것은?
8번
탐색적 조사방법(exploratory research)에 해당하지 않는 것은?
9번
응답자의 내면에 있는 신념이나 태도 등을 단어 연상법, 문장 완성법, 그림 묘사법, 만화 완성법 등과 같은 다양한 심리적인 동기 유발방법을 이용하여 조사하는 방법은?
10번
사회과학연구에서 분석단위로 쓰이는 것과 가장 거리가 먼 것은?(오류 신고가 접수된 문제입니다. 반드시 정답과 해설을 확인하시기 바랍니다.)
11번
코호트 연구(cohort study)의 의미로 가장 적합한 것은?
12번
연구방법에 대한 설명으로 옳은 것은?
13번
다음 중 탐색조사(exploratory research)의 연구목적을 반영하고 있는 것으로만 짝지어진 것은?

14번
표적집단면접법(focus group interview)에 관한 설명으로 가장 적합한 것은?
15번
전화조사를 사용해야 할 때와 가장 거리가 먼 것은?
16번
횡단연구(cross-sectional study)에 관한 설명으로 틀린 것은?
17번
우편조사의 응답률에 영향을 미치는 요인과 가장 거리가 먼 것은?
18번
조사연구의 일반적인 목적과 가장 거리가 먼 것은?
19번
A영양제의 효과를 패널조사 방법으로 8세 때부터 15년간 조사하였다. 이 과정에서 가장 문제시 될 수 있는 타당도 저해요인은?
20번
다음 질문항목의 문제점으로 가장 적합한 것은?

21번
가설이 갖추어야 할 요건이 아닌 것은?
22번
설문지에 사용하는 용어 선택 시 고려해야 할 사항을 모두 고른 것은?

23번
사회조사에서 자료를 편집, 정정, 보완하거나 필요에 따라서 삭제하여야 할 필요성이 생겨나는 단계는?
24번
설문지 내에서 개별질문들을 배치할 때 고려할 사항으로 틀린 것은?
25번
두 개 이상의 구성개념 또는 변수간의 관계를 검정 가능한 형태로 서술한 문장으로써 과학적 조사에 의하여 검정이 가능한 사실을 말하는 것은?
26번
실험의 기본적 요소와 가장 거리가 먼 것은?
27번
새로운 아이디어나 요인간의 관계를 파악하기 위한 탐색적 조사에 가장 적합한 질문유형은?
28번
설문지의 표지문(cover letter)에 포함될 내용으로 가장 거리가 먼 것은?
29번
내용분석에 관한 설명으로 틀린 것은?
30번
응답자의 잘못으로 생길 수 있는 편의(bias)와 가장 거리가 먼 것은?
2과목 : 조사방법론 II
31번
동일한 개념에 대해 측정을 반복했을 때 동일한 측정값을 얻게 되는 정도는?
32번
층화(stratified)표본추출법에 관한 설명으로 틀린 것은?
33번
특정한 구성개념이나 잠재변수의 값을 측정하기 위해 측정할 내용이나 측정방법을 구체적으로 정확하게 표현하고 의미를 부여하는 것은?
34번
표집을 위한 명단 배열에 일정한 주기성이 있는 경우 편중된 표본을 추출할 위험이 있는 표집방법은?
35번
측정의 타당도에 대한 설명으로 옳은 것은?
36번
변수와 측정수준의 연결이 옳은 것은?
37번
신뢰도 측정방법의 하나인 반분법에 관한 Spearman-Brown 공식의 가정으로 옳은 것은?
38번
종교와 계급이라는 2개의 변수에서 각 변수에 4개의 범주를 두고(4종류의 종교 및 4종류의 계급) 표를 만들 때 칸들이 만들어진다. 각 칸마다 10가지 사례가 있다면 표본크기는?
39번
동일한 크기의 표본을 반복해서 추출했을 때 각 표본의 평균값이 어떻게 분포하는지를 보여주는 것은?
40번
표본의 크기에 관한 설명으로 옳은 것은?
41번
이분변수(dichotomous variables)에 대한 설명과 가장 거리가 먼 것은?
42번
척도에 관한 설명으로 틀린 것은?
43번
신뢰도의 안정성 기준과 관련된 것으로 동일한 개념을 두 시점에서 각각 측정하여 이들이 어느 정도 상관관계가 높은가를 보고 신뢰도를 평가하는 방법은?
44번
거트만 척도에서 응답자의 응답이 이상적인 패턴에 얼마나 가까운가를 측정하는 것은?
45번
다음 ( )에 각각 알맞은 것은?

46번
표본조사와 전수조사의 관계에 대한 설명으로 틀린 것은?
47번
모집단을 동질적인 특성을 가진 몇 개의 집단으로 구분하고 각 집단별로 표본을 추출하는 방법으로 모두 짝지은 것은?

48번
일반적인 표본추출과정으로 옳은 것은?

49번
실험에서 인과관계를 추론하기 위해서 서로 다른 값을 갖도록 처치를 하는 변수를 무엇이라고 하는가?
50번
점수 또는 척도가 일반화하려고 하는 개념을 어느 정도로 잘 반영해 주고 있는가를 의미하는 타당도는?(오류 신고가 접수된 문제입니다. 반드시 정답과 해설을 확인하시기 바랍니다.)
51번
확률표집방법(probability sampling method)과 비확률표집방법(non-probability sampling method)에 관한 설명으로 틀린 것은?
52번
측정의 비체계적 오차와 체계적 오차를 신뢰도, 타당도의 개념과 연결시켜 생각할 때, 타당도는 높으나 신뢰도가 낮은 경우는?
53번
사회적 거리척도로서 집단간 거리측정이 아니라 집단내 구성원간의 거리를 측정하는 방법은?
54번
각 문항이 척도상의 어디에 위치할 것인가를 평가자들로 하여금 판단케 한 다음 조사자가 이를 바탕으로 하여 대표적인 문항들을 선정하여 척도를 구성하는 방법은?
55번
한정된 모집단이 없고 참가자들이 계속 장소를 바꾸며 움직일 때, 사건이 일어나는 지역을 표집대상으로 삼고, 사람들을 표집하는 방법은?
56번
다음에서 설명하는 내적 타당도 저해요인으로 가장 적합한 것은?

57번
층화무작위표본추출법과 군집표본추출법에 대한 설명으로 틀린 것은?
58번
표본추출(sampling)에 대한 설명으로 틀린 것은?
59번
특정한 규칙에 따라 현상에 숫자를 부여하는 과정은?
60번
측정에 대한 설명과 가장 거리가 먼 것은?
3과목 : 사회통계
61번
다음 중 제1종 오류가 발생하는 경우는?
62번
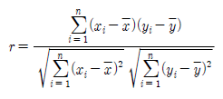
두 변수 (X, Y)의 n개의 자료 (x1,y1), (x2, y2), …, (xn, yn)에 대하여 다음과 같이 정의된 표본상관계수 r에 대한 설명 중에서 틀린 것은?

63번
모평균(μ)에 대한 검정을 수행할 때, 가설의 형태로 잘못된 것은?(오류 신고가 접수된 문제입니다. 반드시 정답과 해설을 확인하시기 바랍니다.)
64번
4×5 분할표 자료에 대한 독립성검정에서 카이제곱 통계량의 자유도는?
65번
중소기업들 간 30대 직원의 연봉에 차이가 있는지 알아보기 위해 몇개의 기업을 조사한 결과 다음과 같은 분산분석표를 얻었다. 총 몇개 기업이 비교대상이 되었으며, 총 몇 명이 조사되었나?

66번
A와 B 두 사람이 같은 동전을 던지는 실험을 하였다. A는 100회 시행에서 앞면이 60번, B는 200회 시행에서 앞면이 90번 나왔다. 이 동전의 앞면이 나올 확률의 추정치는?
67번
모집단으로부터 추출한 크기가 100인 표본으로부터 구한 표본비율이
이다. 모비율에 대한 가설 H0:p=0.4 vs. H1:p>0.4을 검정하기 위한 검정통계량은?
이다. 모비율에 대한 가설 H0:p=0.4 vs. H1:p>0.4을 검정하기 위한 검정통계량은?
68번
봉급생활자의 근속년수, 학력, 성별이 연봉에 미치는 관계를 알아보고자 연봉을 반응변수로 하여 다중회귀분석을 실시하기로 하였다. 연봉과 근속년수는 양적변수이며, 학력(고졸이하, 대졸, 대학원 이상)과 성별(남, 여)은 질적변수일 때, 다중회귀모형에 포함되어야 하는 가변수(dummy variable)의 수는?
69번
항아리에 파란공이 5개, 빨간공이 4개, 노란공이 3개 들어 있다. 이 항아리에서 임의로 1개의 공을 꺼낼 때 빨간공일 확률은?
70번
두 집단의 자료 간 산포를 비교하는 측도로 적절하지 않은 것은?
71번
다음 중 첨도가 가장 큰 분포는?
72번
6면 주사위의 각 눈이 나타날 확률이 동일한지를 알아보기 위하여 주사위를 60번 던진 결과가 다음과 같다. 다음 설명 중 잘못된 것은?

73번
단순 선형회귀모형 y=α+βx+e을 적용하여 주어진 자료들로부터 회귀직선을 추정하고 다음과 같은 분산분석표를 얻었다.
이 때 추정에 사용된 자료수와 결정계수는?
이 때 추정에 사용된 자료수와 결정계수는?
74번
회귀분석에서 결정계수(R2)에 관한 설명으로 옳은 것은?
75번
이항분포 B(n,p)의 정규 근사 조건으로 옳은 것은?
76번
두 사건 A 와 B 에 대한 확률의 법칙 중 일반적으로 성립하지 않는 것은?
77번
다음 설명 중 틀린 것은?
78번
자료의 위치를 나타내는 측도로 알맞지 않은 것은?
79번
10대 청소년 480명을 대상으로 인터넷 사용 시 가장 많이 이용하는 서비스가 무엇인지를 조사하여 다음의 결과를 얻었다. 서비스 이용 빈도 간에 서로 차이가 없다는 귀무가설을 검정하기 위한 카이제곱 통계량의 값과 자유도는?

80번
다음은 서로 다른 3가지 포장방법(A, B, C)의 선호도가 같은지를 90명을 대상으로 조사한 결과이다. 선호도가 동일한지를 검정하는 카이제곱 검정통계량의 값은?

81번
일원분산분석에 관한 설명으로 틀린 것은?
82번
토산품점에 들리는 외국인 관광객 1인당 평균구매액을 추정하려한다. 10명의 고객을 랜덤추출하여 조사한 결과 표본 평균이 $4000이었다. 모집단의 분포를 정규분포라 가정할 때, 모평균에 대한 95% 신뢰구간은? (단, 모 표준편차는 $300이라 알려져 있다.)
83번
어느 기업의 신입직원 월급여가 평균이 2백만원, 표준편차는 40인 정규분포를 따른다고 하자. 신입직원들 중 100명의 표본을 추출할 때, 표본평균의 분포는?
84번
대기오염에 따른 신체발육정도가 서로 다른지를 알아보기 위해 대기오염상태가 서로 다른 4개 도시에서 각각 10명씩 어린이들의 키를 조사하였다. 분산분석의 결과가 다음과 같을 때, 다음 중 틀린 것은?

85번
다음 회귀방정식을 통해 30세의 경상도출신으로 대학을 졸업한 남자의 연소득을 추정하면?

86번
자료에 대한 산점도를 통해 파악할 수 없는 것은?
87번
가설검정에 관한 설명으로 틀린 것은?
88번
공정한 주사위를 20번 던지는 실험에서 1의 눈을 관찰한 횟수를 확률변수 X라 하자. 정규근사를 이용하여 P(X≥4)의 근사값을 구하려 한다. 다음 중 연속성 수정을 고려한 근사식으로 옳은 것은? (단, Z는 표준정규분포를 따르는 확률변수)
89번
평균이 70이고 표준편차가 5인 정규분포를 따르는 집단에서 추출된한 개체의 관찰값이 80이었다고 하자. 이 개체의 상대적 위치를 나타내는 표준화점수는?
90번
평균이μ이고 분산이 16인 정규모집단으로부터 크기가 100인 확률표본의 평균을
라 하자. 가설 H0:μ=8 vs. H1:μ=6.416의 검정을 위하여 기각역을
<7.2로 할 때, 제1종 오류와 제2종 오류를 범할 확률은?
라 하자. 가설 H0:μ=8 vs. H1:μ=6.416의 검정을 위하여 기각역을
<7.2로 할 때, 제1종 오류와 제2종 오류를 범할 확률은?
91번
어떤 도시의 특정 정당 지지율을 추정하고자 한다. 지지율에 대한 90% 추정오차한계가 5% 이내이도록 하려면 표본의 크기는? (단, Z가 표준정규분포를 따르는 확률변수일 때, P(Z≤1.645)=0.95, P(Z≤1.96)=0.975, P(Z≤0.995)=2.576이다.)
92번
다음은 일원분산분석을 실시한 결과이다. 결과에 대한 해석으로 틀린 것은?

93번
다음 통계량 중 그 성질이 다른 것은?
94번
설명변수(X)와 반응변수(Y)사이에 단순회귀모형을 가정할 때, 결정계수는?

95번
어느 대학교에서 학생들을 대상으로 4개의 변수(키, 몸무게, 혈액형, 월평균 용돈)에 대한 관측값을 얻었다. 이들 변수 중 관측값들을 대표하는 측도로 최빈값(mode)을 사용하는 것이 가장 적합한 것은?
96번
흰색 공 2개, 검은색 공 3개가 들어있는 상자에서 2개의 공을 임의로 선택할 때, 확률변수 X를 선택된 2개 중에서 흰색 공의 수라 하자.X의 기댓값은?
97번
자동차 보험의 가입자가 보험금 지급을 청구할 확률은 0.2라 한다. 200명의 가입자 중 보험금 지급을 청구하는 사람의 수를 X라 할 때,X의 평균과 분산은?
98번
상관계수에 대한 설명으로 틀린 것은?
99번
어떤 학생이 통계학 시험에 합격할 확률은 2/3이고, 경제학 시험에 합격할 확률은 2/5이다. 또한 두 과목 모두에 합격할 확률이 2/3이라면 적어도 한 과목에 합격할 확률은?(오류 신고가 접수된 문제입니다. 반드시 정답과 해설을 확인하시기 바랍니다.)
100번
공정한 1개의 동전을 6회 던져서 앞면이 나타난 횟수를 X라 할 때, X의 평균과 분산은?
연도별
- 2021년08월14일
- 2021년03월07일
- 2020년09월26일
- 2020년08월22일
- 2020년06월06일
- 2019년08월04일
- 2019년04월27일
- 2019년03월03일
- 2018년08월19일
- 2018년04월28일
- 2018년03월04일
- 2017년08월26일
- 2017년05월07일
- 2017년03월05일
- 2016년08월21일
- 2016년05월08일
- 2016년03월06일
- 2015년08월16일
- 2015년05월31일
- 2015년03월08일
- 2014년08월17일
- 2014년05월25일
- 2014년03월02일
- 2013년08월18일
- 2013년06월02일
- 2013년03월10일
- 2012년08월26일
- 2012년03월04일
- 2011년08월21일
- 2011년03월20일
- 2010년07월25일
- 2010년03월07일
- 2009년07월26일
- 2008년07월27일
- 2008년03월02일
- 2007년08월05일
- 2006년08월06일
- 2005년08월07일
- 2004년08월08일
- 2003년08월10일
- 2003년03월16일
- 2002년08월11일
- 2002년03월10일
- 2001년09월23일
- 2000년09월20일
- 2000년03월12일